零售究其本質,是效率與服務的結合 ——《零售管理》巴里 伯曼
傳統零售目前數智化程度的不足,導致許多需求預測全靠從業人員的“專家經驗”。這種純粹憑個人經驗和感覺的預測方式使得供應鏈庫存經常高企,同時又有很多爆品的缺貨發生。新零售帶來的渠道數字化變革旨在使所有的預測和決策都“有數可循”,從根本上解決“人治”帶來的諸多困難和不確定性,使得完全通過數據驅動的需求預測和智能補貨成為可能。
需求預測在供應鏈管理體系中的重要性
供應鏈流程作為企業價值實現的核心流程,需要平衡面向市場的客戶需求和企業中長期的產品戰略,實現短期感知需求和長期塑造需求的一致性協同。感知需求主要來源于終端,側重于短期的需求,而塑造需求主要來源于產品戰略,是基于公司對客戶和競爭對手分析后進行規劃制定的。

圖片來源于網絡
目前,在需求計劃這部分,集團性企業往往銷售渠道復雜、產品類型多,終端的能力水平不一樣,同時缺少工具層面和組織層面的支撐,預測管理沒有延伸到前端,通常由總部兜底式管理,往往導致積壓與缺貨長期并存的現象。
基于細分的產品市場策略,進行需求和承諾是非常關鍵的,以執行細分政策和盈利的客戶服務戰略。承諾分配是保留庫存或能力的過程,需要建立資源分配的優先級,借助完整的分配和訂單承諾,建立供應鏈各鏈條嚴肅的層層承諾和雙向約束機制,企業可以實現很多的供應鏈細分的運營目標。
供應鏈信息要對前端透明,減少溝通層次提供溝通效率,高效精準的提前指導分公司業務運作,比如和商家的業務協同、市場活動安排等。

前端把需求優先級傳給后端,后端按優先級進行資源分配,實現訂單制下的供應鏈優化。
企業供需的平衡,以取得資源得最大化利用,是一個從粗到細的過程,根據企業的產品戰略,在不同的計劃層次解決不同的關注要點,可以分為年計劃,月計劃,周計劃和日計劃。在年計劃層面,關注戰略物資的保障;在月/周計劃,關注關鍵物資和能力的保證,減少波動率;在日計劃層面,強調全BOM的物料和能力保證,計劃的可執行性。
在機器學習的范疇,需求預測是一個典型的“回歸”(Regression)問題。算法可以通過歷史數據,以真實銷量作為數據樣本,不斷調整模型參數,自動的學習到預測的最優解。我們需求預測的總體方法也是以機器學習模型作為主線的不斷迭代。
因此要讓新零售的補貨系統根據當前庫存狀況智能的生成補貨策略,除了要通過庫存模型對現實的情況進行抽象,簡化為整數規劃模型之外,我們還需要對未來的需求分布進行精準的預測并作為庫存模型的重要輸入。
比如經銷商或門店通常會設置一個安全庫存值以及觸發補貨的條件,在以往這相當依賴于人工經驗。而由于市場受季節、天氣、節日、促銷等復雜因素影響,人工主導無法做到精準預測,安全庫存值定的太高可能會帶來較高的成本,安全庫存值設得太低則容易缺貨、影響消費者體驗。
在不同的時間不同的情況下,安全庫存的臨界點也會不同,最終實現科學的需求預測及智能補貨。通過大數據及智能算法,使得平均缺貨率下降了10~15%,庫存下降10%。無論是消費者體驗還是物流成本都得到了很好的優化。
有了大數據及算法的能力積累,可以幫助到越來越多的品牌商進行科學合理的供應鏈規劃
有了大數據及算法的能力積累,可以幫助到越來越多的品牌商進行科學合理的供應鏈規劃,平衡產能,減少庫存,縮短平均運輸距離。這才是真正的全渠道全供應鏈物流解決方案。
并不是所有數據都從智能補貨來輸出或者決定,在整個補貨建議輸出的過程中,還有其他系統的關鍵數據輸入。補貨系統計算時輸入數據除了來自系統本身的參數設置,如備貨參數、下單周期、箱規等,基礎數據屬性來源于主數據。主數據是指基礎性數據,如是否上下柜,是否售完即止,是大件屬性還是小件屬性,是否開通了平行倉庫存,是否是贈品等。這些屬性會在補貨系統先進行判斷,來看是否該補貨,走那種補貨邏輯。
以“售完即止”為例,如果是售完即止的商品,智能補貨當抓取到該SKU屬性時默認為不再需要補貨。所以一個商品是否正確的設置售完即止,是否按時設置了售完即止,都會直接影響補貨系統是否能出單。如果是真的售完即止,沒有進行主數據勾選,就會有補貨系統仍然出單最后產生滯銷或者廠家無貨的風險。
除了主數據,補貨系統的預測數據來源于銷量預測系統,基礎庫存信息來源于ERP系統,并可以進行手動實時更新。供應商綁定關系來源于VCS系統維護的SKU與默認供應商對應關系,或者單獨在補貨系統接口功能維護只用于補貨的供應商信息。Band分級數據來源于公用的整體band分級底表,只是選擇了其中一個固定口徑做輸出。
智能補貨的邏輯是基于供應鏈庫存管理理論的安全庫存理論開展的
因為智能補貨與上下游系統的關聯,所以很多時候我們看到的采購單被下多了或者下少了,或者沒有按時下達,沒有按期望拆單等,實際是受多個可能性影響。如果能把問題具象化,也就能找到具象的根本問題在哪里,并找到應對方案解決。
系統自動化越高,相當于決策越靠前,這就要求使用者要對設置的參數和邏輯有足夠了解,智能補貨的邏輯是基于供應鏈庫存管理理論的安全庫存理論開展的。在使用前需要先了解系統邏輯,并進行一段時間的參數設置結果驗證和觀察。
全渠道商品數據的打通有利于庫存預測系統對商品的零售需求預測,需求預測生成需求報表并提供自動補貨決策(預決策),此時補貨員通過核查核實訂單并對訂單作出相應調整。訂單完成后形成“訂單聚合與電子數據交換”。
數據傳輸至供應商平臺,供應商通過確認、修改、調整訂單,提供商品供給,此時數據再傳輸至補貨員實現訂單確認。補貨員對訂單確認后系統對承運商進行“DC時間預約”。售貨員收貨后訂單完成。
由此流程可實現以下部分核心補貨功能:
常規補貨:常規商品通過DMS基礎陳列以及目標庫存進行自動補貨。永續補貨:短保質期商品持續按固定補貨量補貨。預測補貨:促銷檔期商品在促銷期內根據銷量預測進行動態補貨。促銷計劃補貨:根據促銷檔期銷售計劃,計劃量的一部分到店鋪,剩余量在DC和供應商處提前蓄水。
需求預測策略的實現邏輯——某超市構建并驗證的回歸模型
以下是某超市構建并驗證的回歸模型,數據源自數字化設備及系統產生的歷史數據,通過數據統計數值、參數、統計概率——代入回歸模型,數學計算法形成商品需求預測值。并根據歷史經驗予以對應決策。眾多諸如“回歸模型預測”可以嵌入SAAS產品中更為快速直觀利用,也可以是服務商BI產品,同樣也可以自研算法可塑性更高,但三者目標一致——提升零售效率。
以下為回歸模型具體算法步驟,以下內容源自國外文獻 Highly Scalable Blog 翻譯自張夏天。
零售商為客戶提供一組產品。對給定產品的需求依賴于許多因素,包括產品本身的特性如價格或品牌,同類產品競爭對手的價格, 促銷活動,甚至是天氣。該問題的目標是整合這些因素來構建需求模型并且允許進行假設分析以預測對價格變化的響應,品類的擴充和減少,計算最佳庫存水平,并分配貨架空間單位。體現為以下三方面:
價格優化,促銷活動計劃, 以及定向折扣。
品類管理和計劃。
庫存水平優化。
需求預測模型通常應用在市場營銷活動設計中,因為這些模型能夠解釋需求回歸量的影響。例如,一個需求預測模型可以揭示某一產品的價格敏感性(當價格變化時需求有多少變化)與包裝大小和和銷售區域的人口特性緊密相關,這就暗示了可以在不同的商店使用不同的價格并對不同包裝的產品設定不同的單位毛利率。
需求預測可以被認為是一個相對簡單的數據挖掘問題,只需要建立一個回歸模型并用歷史數據進行評估。然而,設計回歸模型則不是那么簡單的事情,因為需求受到很多有著復雜依賴關系的因素的影響。
基于文獻 [KOK07] 為 Albert Heijn(一家荷蘭的連鎖超市)構建并驗證的回歸模型。這一模型基于早期的營銷研究如 [BG92],以及時尚零售商如 RueLaLa[JH14] 和 Zara[CA12] 的實踐,這些實踐中應用了相似的模型。
然而,重要的是要理解不同的優化問題需要不同的需求預測模型并且幾乎不可能構建通用的需求模型來整合各種不同的需求影響因子。
我們從以下對一給定產品的需求模型開始:
此處:
V 是在給定時間窗口內顧客到訪商店的數量,例如一天。
Pr(purchase | visit) 是客戶在逛商店期間購買任意商品的概率。
Pr(j | purchase) 是當客戶發生購買時在所有可選項中選擇產品的概率。
E{Q | j;purchase} 是當客戶選擇了產品并購買時購買數量(單位數量)的數學期望。
公式(3.1)中的所有因素都可以用店鋪的歷史交易數據來估計。需求通常與日期(周幾、節假日等)和店鋪(大小、鄰近區域的人口統計情況等等)相關,所以我們引入下標 t 和 h 來分別表示日期和店鋪,而估計的需求就是這些參數的函數。
另外,商店屬性,如大小、位置和平均消費者的收入可以納入模型作為回歸。根據 [KOK07],商店訪客的數量可以建模如下:

此處 Tt 是天氣溫度,Wt 是天氣舒適度指數(濕度、陰晴等),Bti 和 Eti 分別是表示一天是星期幾和公共假期的 0/1 啞變量,H 是公共假期的天數,而 α 是回歸系數。
購買事件是一個二值變量(購買/沒有購買),所以我們可以用一個標準的建模方法 - 將購買概率用一個 Sigmoid 函數來表達并從數據估計指數參數:

則 x 的回歸模是:
此處 Ajht 是啞變量,產品 j 在促銷時值為 1 否則為 0,Nh 是所有產品的數量,而 β4 對應的是促銷產品占整體銷售產品中的百分比。
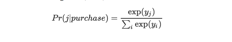
Pr(j | purchase) 的估計則更為棘手一些?蛻暨x擇建模在本質上是計量經濟問題,是一個特別的經濟學研究分支——選擇建模理論。選擇建模理論證明了多項 logit 模型(MNL)是有效的方法來對多個選項中選擇的概率進行建模。

此處會 i 迭代遍歷所有產品,yj 是一個參數變量。類似于購買事件的概率,我們對參數 yj 建立了一個回歸模型:

此處系數 Γn+1 和 數 Γn+2 由所有產品共享,Rjht 和 R 分別是單個產品的價格和產品的平均價格,而 Ajht 和 A 是促銷啞變量和平均促銷率,如上面對購買可能性回歸模型描述的那樣。
最后,單位產品的平均銷售數量可以建模如下:

通過將上述模型代入根表達式(3.1),可以得到完全特別的需求預測模型。這一模型可以根據零售商的業務用例來調整,這些跳幀個可以通過增加更多的解釋性變量如營銷事件來完成。

結語
傳統消費品、零售企業利用移動互聯、大數據等技術,向電商、全渠道等新型業態轉型,以客戶為中心成為新時代轉型的核心焦點。在客戶端,消費者的地位發生改變,他們不再是產業鏈末端的被動接受者,而是成為產業鏈變革的主導者,離消費者越近的地方,企業的不可替代性越高,企業成為價值鏈網絡運營者,價值鏈的各個環節都努力貼近消費者,“產業鏈”逐漸演變為“產業圈”, 強調客戶體驗和互動;在供應鏈交付端,企業對合作伙伴或者客戶的承諾必須實現,對企業供應鏈的透明度要求越來越高,供應鏈的模式要從“面向庫存生產”向“面向訂單生產”轉型,實現流水線式的客戶訂單信息流處理,強調訂單信息流處理的快速、準確和智能化。
要實現這種供應鏈的模式轉型,需要重新思考企業的產品戰略,以及與之配套的供應鏈策略、業務流程、組織和信息系統。
![]() |
| 戶外廣告機 |
落地式廣告機 |
高清廣告機 |
分屏廣告機 |
藍牙廣告機 |
網絡廣告機 |
數字標牌播放器 |
廣告機方案 |
多媒體信息發布系統 |
觸控一體機 |
高清機頂盒 鏡面廣告機 | 多媒體廣告機 | 觸摸廣告機 | 液晶廣告機 | 車載廣告機 | 互動式廣告載體 | 樓宇廣告機 | 流媒體實時發布系統 | 廣告機外殼 | 戶外大屏幕 | 廣告機報價 數字標牌軟件 | 電子看板 | 商業顯示 | 嵌入式主板 | 觸控一體機 | 數字標牌顯示器 | 嵌入式流媒體服務器 | 立式廣告機 | 3D廣告機 | |